十四 平凡人的业绩2
十四 平凡人的业绩2
2入选《八桂英才谱》和《广西社会科学知名专家学者传记》的经过
大约是2001年3月,本校人事处转给我一则广西人事厅的通知书。该通知书告知,我已被确定为入编《八桂英才谱》一书的人选。通知要求:①提供本人半身相片一张;②校对该书编者为入编者撰写的书稿内容;③如无异议,则签名确认后交单位人事部门核定后寄回自治区人事厅。我依约而为。
半年后,我收到了人事厅寄来的一本广西民族出版社出版的精装本《八桂英才谱》。此书的“前言”开宗明义写的是:“《八桂英才谱》是一部由我厅编辑出版的八桂科技英才名录。它以实录的方式,简练的文字,记载了1100多名八桂英才的基本情况、研究方向、专业成就、荣誉奖项和主要论著,从一个侧面反映了八桂科技英才在各自学科领域潜心钻研所取得的丰硕成果和无私奉献精神……目前,在我区专业技术干部队伍中,有国家突出贡献中青年
专家50人、国务院批准享受政府特殊津贴979人、自治区有突出贡献科技人员284人。这1313名专家、学者,是我区专业技术人员的杰出代表,是我区进行西部大开发最宝贵的财富。”[1]

《八桂英才谱》封面

《八桂英才谱》目录
我粗粗地翻阅了一遍全书,发现入编此书的蒙山籍学者,除我之外尚有广西师范大学历史系钟文典教授。在以姓氏笔画为序的编排中,介绍钟教授的部分在第207页,介绍我的部分在第231页。文字的数量,我比钟教授多一行字。
在广西,钟教授是受人敬重的老前辈。1962年,钟教授出版他的专著《太平军在永安》时,我还是一个刚刚跨进北大校门的学生。在钟教授面前,我始终是学生。
不久,学校人事处又转来一则广西社科联的发来的关于编写出版《广西社会科学知名专家学者传记》的通知书。通知书说明,《广西社会科学知名专家学者传记》是一部由广西社会科学界联合会主办的为在世当代广西知名专家、学者编纂的辞书。它还规定,入选《广西社会科学知名专家学者传记》的办法是:“个人申报、所在单位提出推荐意见,所在学会(协会、研究会)或市、高校社科联评审(没有社科联的地、市,由地、市委宣传部评审),然后报送自治区社科联,经《传记》编纂委员会按入选条件逐一严格审定后方可入选。”[2]
我按照通知的要求办理了申报手续。半年后,广西社科联寄来广西民族出版社出版的精装本《广西社会科学知名专家学者传记》一本。该书的出版说明对“入选人数”的说明是:“申请参加本书的专家、学者有300多人,经过学会或单位的评审后,报送到《传记》编纂委员会办公室的有250多人。编委会按入编条件逐个核实,最后通过244人入选本书。”[3]
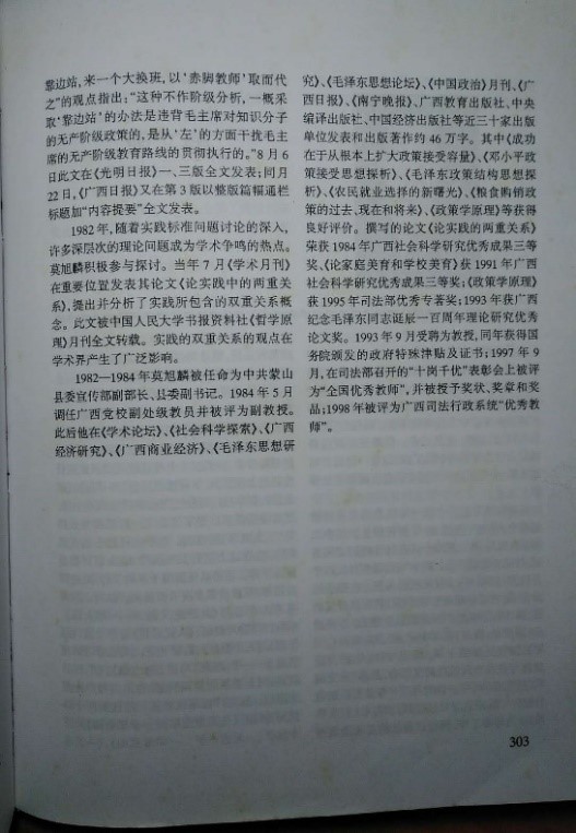
粗阅全书,发现入编此书的蒙山籍学者亦是我和钟文典教授。钟教授的传记编在第282页,我的传记编在第302页。所有入编者传记的篇幅都是两个版面。

《广西社会科学知名专家学者传记》封面

《广西社会科学知名专家学者传记》第302页

《广西社会科学知名专家学者传记》第303页
注:
[1],广西壮族自治区人事厅编:《八桂英才谱》,广西民族出版社,2001年9月第1版,前言第1页
[2]、[3],广西社会科学界联合会主办:《广西社会科学知名专家学者传记》,广西民族出版社,2002年1月第1版,凡例(出版说明)
【编者按】本章介绍了大约在2001年先后被入选《八桂英才谱》和《广西社会科学知名专家学者传记》的内容,而入编此书的蒙山籍学者,除作者外还有广西师范大学历史系钟文典教授。能入选《八桂英才谱》和《广西社会科学知名专家学者传记》名副其实。推荐阅读。编辑:李亚文





